|
4. Transistors
Transistors are active components and are found
everywhere in electronic circuits. They are used as amplifiers and switching
devices. As amplifiers, they are used in high
and low frequency stages, oscillators, modulators, detectors and in any
circuit needing to perform a function. In digital circuits they are used
as switches.
There is a large number of
manufacturers around the world who produce semiconductors (transistors are
members of this family of components), so there are literally thousands of
different types. There are low, medium and high power
transistors, for working with high and low frequencies, for working with
very high current and/or high voltages. Several different transistors are shown on
4.1.
The most common type of
transistor is called bipolar and these are divided into NPN and PNP types. Their
construction-material is most commonly silicon (their
marking has the letter B) or germanium (their marking has the letter A).
Original transistor were made from germanium, but they were very
temperature-sensitive. Silicon transistors are much more
temperature-tolerant and much cheaper to manufacture.
 Fig. 4.1: Different transistors
 Fig. 4.2: Transistor
symbols: a - bipolar, b - FET, c - MOSFET, d - dual gate
MOSFET,
e - inductive channel MOSFET, f - single connection
transistor
The second letter in transistor’s marking describes its primary use: C - low and medium power LF
transistor, D - high power LF transistor, F - low power HF
transistor, G - other transistors, L - high power HF
transistors, P - photo transistor, S - switch transistor, U -
high voltage transistor.
Here are few examples: AC540 -
germanium core, LF, low power, AF125 - germanium core, HF, low
power, BC107 - silicon, LF, low power (0.3W), BD675 - silicon, LF,
high power (40W), BF199 - silicon, HF (to 550 MHz), BU208 - silicon
(for voltages up to 700V), BSY54 - silicon, switching
transistor. There is a possibility of a third letter (R and Q -
microwave transistors, or X - switch transistor), but these letters vary
from manufacturer to manufacturer. The number following the letter is of no importance to
users. American transistor manufacturers have different marks, with
a 2N prefix followed by a number (2N3055, for example). This mark
is similar to diode marks, which have a 1N prefix (e.g.
1N4004). Japanese bipolar transistor are prefixed with a: 2SA,
2SB, 2SC or 2SD, and FET-s with 3S: 2SA - PNP, HF transistors, 2SB -
PNP, LF transistors, 2SC - NPN, HF transistors, 2SD - NPN, HF
transistors.
Several different transistors are shown in
photo 4.1, and symbols for schematics are
on 4.2. Low power transistors are housed in a small plastic or
metallic cases of various shapes. Bipolar transistors have three leads:
for base (B), emitter (E), and for collector (C). Sometimes, HF
transistors have another lead which is connected to the metal
housing. This lead is connected to the ground of the circuit, to protect
the transistor from possible external electrical interference. Four leads
emerge from some other types, such as two-gate FETs. High power transistors are different from
low-to-medium power, both in size and in shape.
It is important to
have the manufacturer’s catalog or a datasheet to
know which lead is connected to what part of the transistor. These
documents hold the information about the component's correct
use (maximum current rating, power, amplification, etc.) as well as a
diagram of the pinout. Placement of leads and
different housing types for some commonly used transistors are in diagram 4.3.
 Fig. 4.3: Pinouts of some common
packages
It
might be useful to remember the pinout for TO-1, TO-5, TO-18 and TO-72
packages and compare them with the drawing 4.2 (a). These transistors
are the ones you will come across frequently in everyday work.
The TO-3 package, which is used to house high-power
transistors, has only two pins, one for base, and one for emitter. The
collector is connected to the package, and this is connected to the rest
of the circuit via one of the screws which fasten the transistor to the heat-sink.
Transistors used
with very high frequencies (like BFR14) have pins shaped
differently.
One of the breakthroughs in the field of electronic
components was the invention of SMD (surface mount devices) circuits.
This technology allowed manufacturers to achieve tiny components with the same properties as their larger
counterparts, and therefore reduce the size and cost of the
design. One of the SMD housings is the SOT23 package. There is,
however, a trade-off to this, SMD components are difficult to
solder to the PC board and they usually
need special soldering equipment.
As we said, there are literally thousands of different
transistors, many of them have similar characteristics, which makes it
possible to replace a faulty transistor with a different one. The
characteristics and similarities can be found in comparison charts. If you do not have
one these charts, you can try some of the transistors you already have. If the circuit
continues to operate correctly, everything is ok. You can only replace an
NPN transistor with an NPN transistor. The same goes if the transistor is PNP or a FET. It is also
necessary to make sure the pinout is correct, before you solder it in
place and power up the project. As a helpful guide, there is a chart
in this chapter which shows a list of replacements for some frequently
used transistors.
4.1 The working principle of a transistor
Transistors are used in analog circuits
to amplify a signal. They are also used in power supplies as
a regulator and you will also find them used as a switch in digital
circuits.
The best way to explore the basics of transistors is by
experimenting. A simple circuit is shown below. It uses a power
transistor to illuminate a globe. You will also need a battery, a small light bulb
(taken from a flashlight) with properties near 4.5V/0.3A, a linear
potentiometer (5k) and a 470 ohm resistor.
These components should be connected as shown in figure 4.4a.
 Fig. 4.4: Working principle of a transistor: potentiometer
moves toward its upper position - voltage on the base increases
- current through the base increases - current
through the collector increases - the brightness of the globe increases.
Resistor (R) isn't really necessary, but if you don't use it, you
mustn't turn the potentiometer (pot) to its high position, because that
would destroy the transistor - this is because the DC voltage UBE (voltage between the base and the
emitter), should not be higher than 0.6V, for
silicon transistors.
Turn the potentiometer to
its lowest position. This brings the voltage on the base (or more
correctly between the base and ground) to zero volts (UBE = 0). The bulb
doesn't light, which means there is no current passing through
the transistor.
As we already mentioned, the potentiometers lowest
position means that UBE is equal to zero. When
we turn the knob from its lowest position
UBE gradually increases. When UBE reaches 0.6v, current starts to enter
the transistor and the globe starts to glow. As the pot is turned
further, the voltage on the base remains at 0.6v but the current
increases and this increases the current through the collector-emitter
circuit. If the pot is turned fully, the base voltage will increase
slightly to about 0.75v but the current will increase significantly and
the globe will glow brightly.
If we
connected an ammeter between the collector and the bulb (to
measure IC), another ammeter between the pot and the base (for
measuring IB), and a voltmeter between the ground and the base and
repeat the whole experiment, we will find some interesting data. When
the pot is in its low position UBE is equal to 0V, as well as currents IC
and IB. When the pot is turned, these values start to rise until the
bulb starts to glow when they are: UBE = 0.6V, IB = 0.8mA and IB = 36
mA (if your values differ from these values, it is because the
2N3055 the writer used doesn't have the same specifications as the one
you use, which is common when working with transistors). The
end result we get from this experiment is that when the current on the
base is changed, current on the collector is changed as well.
Let's look at another experiment which will broaden our
knowledge of the transistor. It requires a BC107 transistor (or any
similar low power transistor), supply source (same as in previous
experiment), 1M resistor, headphones and an
electrolytic capacitor whose value may range between 10u to 100µF with any
operating voltage.
A simple low frequency amplifier can be built from
these components as shown in diagram
4.5.
 Fig. 4.5: A simple transistor amplifier
It should be noted that the schematic 4.5a is similar to the one on
4.4a. The main difference is that the collector is connected to headphones.
The "turn-on" resistor - the resistor on the base, is 1M. When there is no resistor, there is no current flow IB,
and no Ic current. When the resistor is connected to the
circuit, base voltage is equal to 0.6V, and
the base current IB = 4µA. The transistor has a gain of 250 and this means
the collector current will be 1 mA. Since both
of these currents enter the transistor, it is obvious that the emitter
current is equal to IE = IC + IB. And since the base current is in most
cases insignificant compared to the collector current, it is considered
that:

The relationship between the current flowing through the collector and the
current
flowing through the base is called the transistor's current amplification
coefficient, and is marked as hFE. In our example, this coefficient is
equal to:

Put the headphones on and place a fingertip on point 1. You will
hear a noise. You body picks up the 50Hz AC "mains" voltage. The noise heard
from the headphones is that voltage, only amplified by the transistor. Let's
explain this circuit a bit more. Ac voltage with frequency 50Hz is
connected to transistor's base via the capacitor C. Voltage on the base
is now equal to the sum of a DC voltage (0.6 approx.) via
resistor R, and AC voltage "from" the finger. This means that this base
voltage is higher than 0.6V, fifty times per second, and fifty times
slightly lower than that. Because of this, current on the collector is
higher than 1mA fifty times per second, and fifty times lower. This
variable current is used to shift the membrane of the speakerphones
forward fifty times per second and fifty times backwards, meaning that we
can hear the 50Hz tone on the output. Listening to a 50Hz noise is not
very interesting, so you could connect to points 1 and 2 some low
frequency signal
source (CD player or a microphone).
There are literally thousands of different
circuits using a transistor as an active, amplifying device. And all
these transistors operate in a manner shown in our experiments, which
means that by building this example, you're actually building a basic
building block of electronics.
4.2 Basic characteristics of
transistors
Selecting the correct transistor for a circuit is
based on the following characteristics:
maximum voltage rating between the collector and the emitter UCEmax,
maximum collector current ICmax and the maximum power rating PCmax.
If you
need to change a faulty transistor, or you feel comfortable enough to
build a new circuit, pay attention to these three values. Your
circuit must not exceed the maximum rating values of the transistor. If this is disregarded there are
possibilities of permanent circuit damage. Beside the values we mentioned,
it is sometimes
important to know the current amplification, and maximum frequency of
operation. When there is a DC voltage UCE between the
collector (C) and emitter (E) with a collector current,
the transistor acts as a small electrical heater whose power is given with
this equation:

Because of that, the transistor is heating itself and everything in its
proximity. When UCE or ICE rise (or both of them), the transistor
may overheat and become damaged. Maximum power rating
for a transistor, is PCmax (found in a
datasheet). What this means is that the product of UCE and IC should
should not be higher than PCmax:

So, if the voltage across the transistor is increased, the current must be dropped. For example, maximum
ratings for a BC107 transistor are: ICmax=100mA, UCEmax = 45V
and PCmax = 300mW If we need a Ic=60mA , the maximum voltage is:

For UCE = 30V, the maximum current is:

Among its other characteristics, this transistor has current
amplification coefficient in range between hFE= 100 to 450, and it can
be used for frequencies under 300MHz. According to the recommended values
given by the manufacturer, optimum results (stability, low distortion and
noise, high gain, etc.) are with UCE=5V and IC=2mA. There are occasions
when the heat generated by a transistor cannot be overcome by adjusting
voltages and current. In this case the transistors have a metal plate with hole, which is used to attach
it to a
heat-sink to allow the heat to be passed to a larger surface.
Current
amplification is of importance when used in some circuits, where there
is a need for equal amplification of two transistors. For example,
2N3055H transistors have hFE within range between 20 and 70, which
means that there is a possibility that one of them has 20 and other 70.
This means that in cases when two identical coefficients are needed,
they should be measured. Some multimeters have the option for measuring
this, but most don't. Because of this we have provided a simple circuit
(4.6) for testing transistors. All you need is an option on your
multimeter for measuring DC current up to 5mA. Both diodes (1N4001, or
similar general purpose silicon diodes) and 1k resistors are used to
protect the instrument if the transistor is "damaged". As we said,
current gain is equal to hFE = IC / IB. In the circuit, when the switch
S is pressed, current flows through the base and is approximately equal
to IB=10uA, so if the collector current is displayed in milliamps. The
gain is equal to:

For example, if the multimeter shows 2.4mA, hFE = 2.4*100 = 240.
 Fig. 4.6: Measuring the hFE
While measuring NPN transistors, the supply should be connected as
shown in the diagram. For PNP transistors the
battery is reversed. In that case,
probes should be reversed as well if you're using analog instrument (one
with a needle). If you are using a digital meter (highly recommended) it doesn't
matter which probe goes where, but if you do it the same way as you did
with NPN there would be a minus in front of the read value, which means
that current flows in the opposite direction.
4.3 The safest way to test
transistors
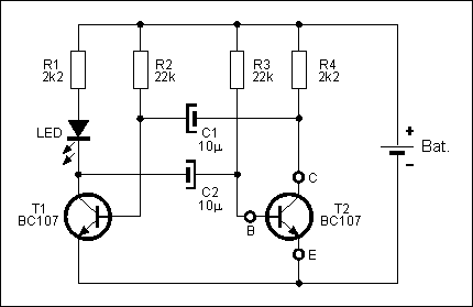
Another way to test transistor is to put it into a circuit
and detect the operation. The following circuit is a multivibrator. The
"test transistor" is T2. The supply voltage can be up to 12v. The LED
will blink when a good transistor is fitted to the circuit.
 Fig. 4.7: Oscillator to test transistors
To test PNP transistors, same would go, only the transistor
which would need to be replaced is the T1, and the battery, LED, C1 and C2
should be reversed.
4.4 TUN and TUP
As we previously said, many electronic devices work
perfectly
even if the transistor is replaced with a
similar device. Because of this, many magazines use the identification TUN and TUP in their schematics. These are general
purpose transistors. TUN identifies a general purpose NPN transistor, and TUP
is a general purpose PNP transistor.
TUN = Transistor Universal NPN and
TUP = Transistor Universal PNP.
These transistors have following
characteristics:

4.5 Practical example
The most common role of a transistor in an analog circuit is
as an active (amplifying) component. Diagram 4.8 shows a simple radio receiver
- commonly called a "Crystal Set with amplifier."
Variable capacitor C and coil L form a parallel oscillating
circuit which is used to pick out the signal of a radio station out
of many different signals of different frequencies. A diode, 100pF capacitor and a
470k resistor form a diode detector which is used to
transform the low frequency voltage into information (music, speech).
Information across the 470k resistor passes
through a 1uF capacitor to the base of a transistor. The transistor and
its associated components create a low frequency amplifier which
amplifies the signal. On figure 4.8 there are symbols for a
common ground and grounding. Beginners usually assume these two are the
same which is a mistake. On the circuit board the common ground is a copper
track whose size is significantly wider than the other tracks. When this
radio receiver is built on a circuit board, common ground is a copper
strip connecting holes where the lower end of the capacitor C, coil L
100pF capacitor and 470k resistor are soldered. On the other hand,
grounding is a metal rod stuck in a wet earth (connecting your circuits
grounding point to the plumbing or heating system of your house is also a
good way to ground your project). Resistor R2 biases the transistor. This voltage should
be around 0.7V, so that voltage on the collector is approximately equal to
half the battery voltage.
 Fig. 4.8:
Detector receiver with a simple amplifier
|